Arvoraportti antaa suunnan yrityskauppaan ja mahdollistaa jatkuvan arvon seuraamisen
18.04.2024
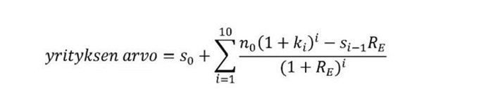
Yrityksen osakekannan arvoa voidaan arvioida usealla eri tavalla, ja eri arvonmääritystavat myös tuottavat keskenään erilaisia lopputuloksia. Suomen Asiakastieto Oy:n kehittämä arvonmääritysmalli perustuu taloudellisen lisäarvon malliin, joka tunnetaan myös nimellä EVA-malli (Economic Value Added).
Asiakastiedon EVA-mallissa yrityksen osakekannan arvo muodostuu tuoreimman taseen substanssiarvon ja tulevaisuudessa kertyvien diskontattujen ylijäämätuottojen yhteissummasta. Tulevaisuuden ylijäämän tuotolla tarkoitamme yrityksen arvioitua nettotulosta, josta on vähennetty oman pääoman tuottovaatimus. Asiakastiedon arvonmääritysmalli ennustaa yrityksen nettotulokset tuoreimmasta tilinpäätöstä alkaen seuraaville kymmenelle vuodelle. Tutustu esimerkkiraporttin ja osta tästä
Arvoraportti on erinomainen työkalu moneen liiketoiminnan elinkaaren vaiheeseen
Miten yritykselläsi menee suhteessa muihin toimialan yrityksiin tai miten arvokas yrityksesi on? Oikea tieto yrityksen arvosta auttaa tekemään parempia päätöksiä. Arvoraportissa yritykselle määritellään euromääräinen arvo ja siinä esitellään ja käydään tarkasti läpi tunnusluvut, laskukaavat sekä viimeisimmät tilinpäätökset. Raportin tulkintaa helpottaa numeeristen arvojen rinnalla olevat selkeä grafiikka.
Yrityksen Arvoraportti on kustannustehokas ja puolueeton työkalu, joka auttaa seuraamaan jatkuvasti yrityksesi arvon kehitystä. Mikäli tulevaisuuden suunnitelmissa on yrityskauppa tai sukupolvenvaihdos, on Arvoraportti erinomainen apu, jolla voit huomata oman liiketoiminnan heikkoudet, korjata niitä, seurata tehtyjen muutosten kannattavuutta ja sitä kautta kasvattaa yrityksen arvoa entisestään. Myyntiprosessin suunnittelu ja arvon määritys on kannattavaa aloittaa jo vuosia ennen myyntiä sekä tehdä jatkuvaa seurantaa. Mikäli yrityksen arvon määrityksen tekee samana vuonna kuin on myymässä, ei arvolle ole enää tehtävissä mitään.
Arvoraportti on erinomainen työkalu lisäksi mm.
- kiinnostavien sijoituskohteiden arviointiin
- ostoprosessia varten – osoita ostajalle kattava kuvaus yrityksesi tilanteesta
- yrityksen arvon määritys myös esimerkiksi avioerotilanteissa tai osuuden myynnissä
- isojen tilausten/kauppojen yhteydessä yrityksesi toiminnan vakauden osoittamiseksi yhteistyökumppaneille
- yritystoiminnan strategiseen suunnitteluun.
Selvitä yrityksesi arvo: Osta Arvoraportti
Kun haluat selvittää yrityksesi arvon kehitystä verrattuna kilpailijoihin tai haluat tarkempaa tietoa kilpailijoidesi toiminnasta markkinoilla, Kilpailija- ja Toimialaraporttimme on tehokas työkalu taustatyön tekemiseen.
Tietokanta toimii pohjana
Suomen Asiakastieto Oy on koonnut laajan, laadukkaan ja ajantasaisen tietokannan, joka sisältää tietoa suomalaisten yritysten tilinpäätöksistä ja luottoluokituksista. Näiden tietojen avulla pystymme arvioimaan, kuinka suuri yrityksen taloudellinen riski on suhteessa muihin yrityksiin.
Asiakastieto laskee yksittäisen yrityksen riskin koostuvan neljästä pääkomponentista: liikeriski (nettotuloksen vaihtelu), rahoituksellinen riski (omavaraisuus), operationaalinen riski (gearing) ja maksukyvyttömyyden riski (yrityksen luottoluokitus).

Mukana myös verottajan laskema arvo
Arvonmäärityksen eri laskentatavat tuottavat erilaisia arvoja, ja loppujen lopuksi yrityksen todellinen arvo on se, minkä ostaja on valmis maksamaan ja millä myyjä on valmis myymään. Yksikään metodi ei siksi tuota absoluuttisesti “oikeaa” arvoa, vaan antaa vain yhden perustellun näkökulman yrityksen arvoon.
Todellisuudessa markkinoilla yritysten osakekannan arvoon vaikuttavat erityisesti tulevaisuuden odotukset. Tämän vuoksi Asiakastiedon Arvoraportti sisältää myös herkkyystaulukot, joissa otetaan kantaa vaihtoehtoisiin yrityksen tulevaisuuden kehityskulkuihin.
Arvoraportti sisältää myös ns. PE- ja PB-kertoimet yritykselle sekä vertaa niitä samalla toimialalla toimiviin yrityksiin.
Raporttiin on lisätty myös yrityksen arvo ns. verottajan mallin perusteella. Verottajan mallissa arvo lasketaan ensi sijassa yrityksen toteutuneiden tulosten perusteella. Nettotuloksen euromääriä ei aikaisemmin raportoitu Asiakastiedon palveluissa. Nyt uutena tietosisältönä tämä tieto on Asiakastiedon asiakkaiden käytettävissä.
Tutustu esimerkkiraporttin ja osta tästä
Takaisin
Uutisarkisto
Pörssitiedotteet
Kuvat ja logot
